
De velomobiel die een trend heeft gezet
De Quest, geproduceerd door het Nederlandse bedrijf Velomobiel.nl, is een legende in de wereld van de ligfietsen. Hoewel er inmiddels extremere "speed-machines" bestaan, was de Quest de eerste die bewees hoe ongelooflijk efficiënt een vleugelvormig ontwerp op de openbare weg is.

De belangrijkste feiten over de prestaties en records:
1. Het 24-uurs wereldrecord
De Quest staat vooral bekend om zijn gebruiksgemak wat leidt toe een hoog uithoudingsvermogen voor de velonaut. In augustus 2010 zette de Duitser Christian von Ascheberg een fenomenaal wereldrecord neer met een speciaal aangepaste Quest (de M-Quest):
- Afstand: 1.219 kilometer in 24 uur.
- Gemiddelde snelheid: Ongeveer 50,8 km/u, inclusief stops voor eten en drinken.
Dit bewees dat de aerodynamica van de Quest zo "intelligent" is dat een menselijke motor minder dan 200 Watt nodig heeft om constant boven de 50 km/u te blijven.
2. Het 12-uurs Wereldrecord
Tijdens dezelfde recordpoging verbrak von Ascheberg ook de 12-uurs limiet.
- Afstand: 664,67 kilometer.
- Gemiddelde snelheid: 55,4 km/u.
3. De 1000 Kilometer Limiet
De Quest was de eerste velomobiel die de grens van 1000 kilometer binnen 24 uur ruim overschreed. Von Ascheberg bereikte de 1000 km-grens in slechts 19 uur en 27 minuten - ook in 2010
4. Parijs-Brest-Parijs (PBP) Records
Hoewel PBP een toertocht is en geen officiële race, zetten Quest-rijders daar vaak onofficiële records neer voor de snelste totaaltijd.
Rijders zoals Ymte Sybrandy (mede-ontwerper van de Quest) voltooiden de 1200 km lange tocht vaak uren sneller dan de snelste racefietsers, met tijden rond de 45 tot 50 uur, waar normale wielrenners er vaak 60+ uur over doen.
5. Voornaamste records door vrouwen
Record | Atleet | Prestatie | Details |
24-uurs Wereldrecord | Nicola (Nici) Walde | 1.174,1 km | Gehaald in augustus 2024 op het testcircuit van Aldenhoven. Ze verbrak hiermee haar eigen eerdere record van 1.088 km uit 2018. |
12-uurs Wereldrecord | Nicola Walde | 616,3 km | Gemiddelde snelheid van ruim 51,3 km/u over twaalf uur (gevestigd in juli/augustus 2024). |
1000 km Wereldrecord | Nicola Walde | 21u 06m 42s | Gemiddelde snelheid van 47,37 km/u over de volledige afstand (juli 2022). |
6-uurs Wereldrecord | Ellen van Vugt | 404 km | Een gemiddelde snelheid van maar liefst 67,3 km/u. Dit record werd destijds beschreven als sneller dan enig mannelijk equivalent over die afstand. |
Topsnelheid (Sprint) | Ellen van Vugt | 90,7 km/h | Een "laagland" sprintrecord voor vrouwen op het circuit. |
Waarom deze records uniek zijn:
In tegenstelling tot de extreme "speedbikes" die in Nevada (Battle Mountain) worden gebruikt voor sprints van 200 meter, zijn de records van de Quest gevestigd in een voertuig dat ook praktisch bruikbaar is op de openbare weg. Het is de perfecte balans tussen "Intelligent Design" en brute menselijke kracht.

Hoe definieer je Intelligent Design?
Een menselijk ontwerp is "intelligent" wanneer het niet tegen de natuurwetten vecht, maar ze als hefboom gebruikt. Dit komt tot uiting wanneer elk stukje van het ontwerp in harmonie is met de omgeving.
In de Quest komt dat tot uiting door de geïnvesteerde energie zo goed mogelijk om te zetten in snelheid. Daarvoor is in eerste instantie rekening gehouden met de luchtweerstand.
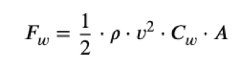
Om de luchtweerstand (F⍵) van een object zoals een Quest of een vleugelprofiel te berekenen, gebruik je de standaard natuurkundige formule voor luchtweerstand:
Waarbij:
- ⍴ (Rho): De luchtdichtheid (gemiddeld 1,225 kg/m³ op zeeniveau).
- v (Velocity): De snelheid in meters per seconde (m/s). Omdat dit in het kwadraat staat, heeft snelheid de grootste impact: twee keer zo snel rijden betekent vier keer zoveel weerstand.
- C ( Drag coëfficiënt): De vormcoëfficiënt. Dit is waar het "Intelligent Design" schittert. Een gewone fietser heeft een coëfficiënt van ongeveer 0,9, terwijl een Quest rond de 0,12 zit.
- A (Frontaal oppervlak): De grootte van de voorkant van de fiets in m². Bij een velomobiel is dit binnen comfortabele grenzen klein gehouden.
Door de combinatie van A en C bij een snelheid van 50 km/u (ca. 14 m/s) verbruikt een gewone wielrenner ongeveer 400-500 Watt om de lucht opzij te duwen. Een Quest-rijder heeft voor diezelfde snelheid slechts ongeveer 150 Watt nodig, omdat het ontwerp de luchtdeeltjes dwingt om langs het lichaam te glijden in plaats van ertegenaan te botsen.
Door zijn 3 wielen kan de Quest met een volledig gestroomlijnde body uitgevoerd worden, maar dit geeft meer rolweerstand en benodigt een perfecte afstelling van de evenwijdigheid van de sturende voorwielen.
Ook het gewicht is meer dan een gewone fiets, wat zich tevens uit in een hogere rolweerstand.
We zien hier dus een bepaalde mate van intelligent ontwerp. Laat ons zeggen op menselijk niveau. Het valt namelijk op dat de fiets doorheen zijn geschiedenis een bepaalde evolutie heeft doorgemaakt, waarin hij stap voor stap geoptimaliseerd werd. Die optimalisatie kwam tot stand door de opmerkzaamheid van bepaalde gebruikers die in staat waren om de opmerkingen om te zetten in verbeteringen (2 uitingen van intelligentie). Hierbij speelt toeval geen rol; dat leggen we uit in de wet van Murphy.
In de natuur zien we meer dan eens een Goddelijk niveau van intelligent design. Dit uit zich in een aantal zaken die anno 2026 nog ver buiten de mogelijkheden van de mens liggen. We merken bijv.:
- Het ontwerp komt ‘uit-ge-engineerd’ in omloop, heeft geen updates nodig, er zijn ook geen recalls.
- De ontwerpen hebben bepaalde variabele parameters waardoor alle items binnen een soort geen cloonen van mekaar zijn (bijv. zoals auto’s). Dat maakt de natuur levendig en de verschillende wezens zijn onderling herkenbaar. De variatie ‘luistert’ naar de wetten van Mendel.
- Reproductie is volledig geautomatiseerd en vraagt geen externe tussenkomst.
- Recycling is praktisch voor 100% voorzien. Dit is ook het gevolg van het ‘totaalproject’: wanneer we de ganse schepping in beschouwing nemen, zien we dat alle parameters op mekaar zijn afgestemd.
- De meeste ontwerpen zijn levend en zelf-herstellend; andere ontwerpen zoals de beweging van de hemellichamen zijn ongelofelijk stabiel.
- Alle benodigde grondstoffen en energie zijn kosteloos voorhanden
De moderne biologie ontdekt steeds meer dat leven niet enkel chemie is, maar vooral gebaseerd is op een ongekend verfijnd informatiesysteem.
Maar waar komt die informatie vandaan? Toeval alleen lijkt te kort te schieten. Misschien is het tijd om het onderzoek naar het leven op een andere manier te bekijken, niet als toeval, maar als ontwerp.

